[AI/DL] 밑바닥부터 시작하는 딥러닝 2장. 퍼셉트론 1 (번역판 전문 요약)

2024. 9. 13. 16:48·[ Artificial Intelligence ]/Seminar

Deep Learning from scratch chapter 2. perceptron

밑바닥부터 시작하는 딥러닝 2장 퍼셉트론


Deep Learning from scratch 
밑바닥부터 시작하는 딥러닝

원문 저자 사이토 고키
번역판 한빛미디어


본문은 필자가 <밑바닥부터 시작하는 딥러닝> 번역판의

해당 챕터 전문을 요약 정리한 포스팅입니다

 

교재에 있으나 해당 포스팅에서 생략된 내용은 거의 없으며

교재에 생략된 내용은 필자가 보충하여 작성했습니다

 

 

2.1 퍼셉트론

퍼셉트론 

- 프랑크 로젠블라트, 1957 제안 알고리즘

- 신경망 딥러닝의 기원이 되는 알고리즘 (원시적이지만 병렬구조와 순차구조와 만나 효율적인 알고리즘)

- 다수의 신호를 입력으로 받아 신호를 출력

 

* 퍼셉트론의 신호는 전기적 흐름으로 흐름 1 / 안 흐름 0 으로만 구분

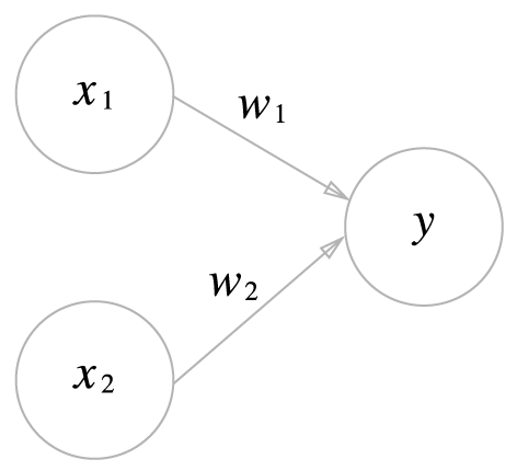
입력층 좌측에 있는 x값들은 입력 신호이고

w 값들은 가중치

y 값은 출력값이다

 

입력층의 원은 입력 노드 즉 신경망에서의 뉴런을 의미하고

입력 신호가 뉴런에 보내질 때 각각의 노드 가중치를 곱하고

신호의 총 합이 정해진 한계인 임계값을 넘을 때 1을 출력하게 된다

 

층을 카운트할 때는 입력층을 제외하고 카운트하는데

퍼셉트론은 입력층과 출력층만 존재하기 때문에 단일 층 구조이고

임계값은 세타 기호로 나타내기도 한다

 

2 입력 퍼셉트론을 표현한 구조와 수식을 확인해보면

 

입력 신호 x1에 대한 가중치 w1 와

입력 신호 x2에 대한 가중치 w2 의 

합은 출력 신호 y

 

 

 

 

 

 

가중치를 곱한 입력 신호들의 합이 

수식에서 베타로 표현된 임계값 세타보다 

작거나 같으면 출력 신호는 0, 크면  1

 

이 계산을 통해 알 수 있는 것은

퍼셉트론은 복수의 입력 신호 각각에 고유한 가중치를 부여하고

가중치는 각 신호가 결과에 미치는 영향력을 조절하는 요소로써 작용하게 된다는 것이다

 

덧붙여,

입력 신호를 전기 신호로 비유했을 때 

가중치는 전류의 흐름을 억제하는 저항에 해당한다

저항이 낮을 수록 전류가 크게 흐른다는 점에서는 

퍼셉트론과 작용하는 방향이 반대이기는 하지만

신호 흐름을 컨트롤한다는 측면에서는 유사하다

 

 

2.2 단순한 논리 회로

퍼셉트론의 구조는 AND, NAND, OR 게이트에서 모두 동일하고

매개변수인 가중치와 임계값만 달라지면 다른 게이트가 되는 것이다

2.2.1. AND Gate  논리곱

출력은 무조건 하나이고 입력이 둘이라고 가정할 때의 진리표를 보자

* 진리표는 입력 신호와 출력 신호의 대응 표를 의미한다

 

두 입력 모두 1일 때만 1을 출력하는 논리 게이트 AND

 

해당 게이트를 퍼셉트론으로 표현하기 위해서는 

진리표대로 작동할 수 있게 가중치 w1, w2와 임계값 세타를 정해야한다

 

다만 AND 게이트 조건을 충족할 수 있는 매개변수의 조합은 무수히 많다

(0.5, 0.5, 0.7) (0.5, 0.5, 0.8) (1.0, 1.0, 1.0)

 

 

2.2.2. NAND Gate  부정 논리곱

 

Not AND 를 의미하는 NAND 게이트는 

AND 게이트의 출력을 부정한 것으로

두 입력 모두 1일 때만 0을 출력한다

 

NAND 게이트 조건을 충족할 수 있는 조합 또한 무수히 많다

AND 게이트 조건을 만족하는 매개변수 조합의 부호를 모두 반전하면 되기 때문이다

(-0.5, -0.5, -0.7)

 

 

 

2.2.3. OR Gate  논리합

 

입력 신호 중 하나 이상 1이면 출력이 1이 되는 게이트로

두 입력이 모두 0일 때만 0이 출력된다

 

OR 게이트 조건을 충족할 수 있는 조합 또한 무수히 많다

 

 

 

 

 

 

 

 

2.3 퍼셉트론 구현하기  by python

2.3.1  간단 구현

2.3.1.1 AND Gate  논리곱  간단 구현

2.3.1.2 NAND Gate  부정 논리곱  간단 구현

교재에는 AND Gate에 대한 간단 구현만 있어 필자가 같은 방식으로 추가 작성하였습니다

 

2.3.1.3 OR Gate  논리합  간단 구현

교재에는 AND Gate에 대한 간단 구현만 있어 필자가 같은 방식으로 추가 작성하였습니다

 



728x90

'[ Artificial Intelligence ] > Seminar' 카테고리의 다른 글

[AI/ML] E2E domain decomposition kernel 도메인 분해 커널  (0) 2024.11.22
[AI/DL] 밑바닥부터 시작하는 딥러닝 2장. 퍼셉트론 2 (번역판 전문 요약)  (2) 2024.09.15
[AI/Semiconductor] 인공지능을 활용한 반도체 제조 공정 효율화  (0) 2023.10.16
'[ Artificial Intelligence ]/Seminar' 카테고리의 다른 글
  • [AI/ML] E2E domain decomposition kernel 도메인 분해 커널
  • [AI/DL] 밑바닥부터 시작하는 딥러닝 2장. 퍼셉트론 2 (번역판 전문 요약)
  • [AI/Semiconductor] 인공지능을 활용한 반도체 제조 공정 효율화
dev charlotte
dev charlotte
주 - 컴퓨터공학 / 복수 - 산업 보안
    250x250
  • dev charlotte
    int main() {
    dev charlotte
  • 전체
    오늘
    어제
    • 분류 전체보기
      • [ Laboratory ]
        • Paper review
        • Advanced Operating System
        • System Software & Storage
        • Lab etc
      • [ Computer Science ]
        • Algorithm_C++
        • Operating System
        • Information Retrieval
        • Database_sql
        • SW Engineering
        • Computer Network
        • JavaScript
        • Python
        • Data Structure
        • CS study
        • Distributed systems
      • [ Computer Security ]
        • Convergence Security
        • Web Security
        • PIMS
        • Network Security
        • Digital Finance
      • [ Artificial Intelligence ]
        • Trend
        • Seminar
      • [ 미래, 같이, LG ]
      • [ Development ]
        • [ Front-end ]
        • [ Back-end ] Spring 기본
        • [ Back-end ] Node.js
      • etc
        • 현대오토에버 스마트 모빌리티 공학 체험 교육
      • It's me
  • 블로그 메뉴

    • 링크

      • GitHub
    • 공지사항

    • 인기 글

    • 태그

      프로그래머스 c++
      프로그래머스 입문
      현대오토에버
      SQL
      싸피
      spdk
      대학생 대외활동
      티스토리챌린지
      SSAFY
      ssafy 13기
      싸피 13기
      프로그래머스 코테
      SQL 쿼리
      MySQL
      hotstorage
      프로그래밍 언어론
      코딩 인강
      현대오토에버 스마트 모빌리티
      오블완
      코딩 교육
      소프트웨어 공학
      코드잇
      공대생 대외활동
      프로그래머스
      스마트모빌리티공학체험교육
      데이터베이스
      현대오토에버 스마트모빌리티
      비전공자 코딩
      자바스크립트
      백준
    • 최근 댓글

    • 최근 글

    • hELLO· Designed By정상우.v4.10.4
    dev charlotte
    [AI/DL] 밑바닥부터 시작하는 딥러닝 2장. 퍼셉트론 1 (번역판 전문 요약)
    상단으로

    티스토리툴바